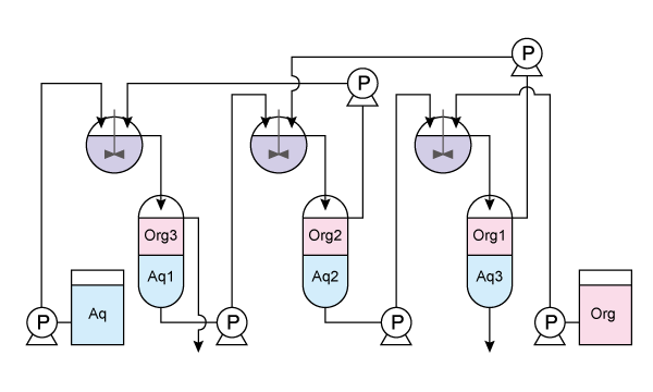
向流多段式のミキサーセトラーによる連続溶媒抽出実験を行いたい。
- ポンプがたくさん必要だが、装置全体をコンパクトにして1台のドラフトチャンバーに収めたい。
- 送液条件をいろいろ変えて実験したい。
- 送液量を数値で管理したい。
スムーズフローポンプQシリーズをご使用いただいた。
- ポンプが小さく場所を取らないため、多段の抽出装置をコンパクトに構成できた。
- 1台で幅広い流量範囲に対応でき、設定も簡単なので、条件変更がしやすくなった。
- 設定流量を正確に吐出できるため、流量計を使わなくても送液量を管理できるようになった。